The product rule can be used, to derive the quotient rule, the quotient rule can be used to compute the derivative of the tan, sec, and ccs functions.
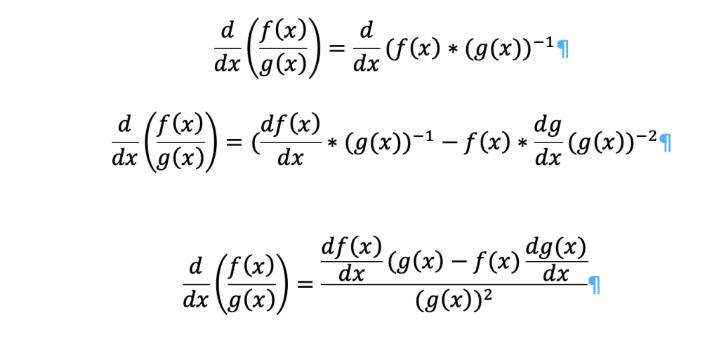
I had a hard time remembering these derivatives I derived them so many time it finally stuck. So here is the quotient rule derived from the product rule
I will go through the tan, csc and sec in the next session.

Advertisements
Leave a comment