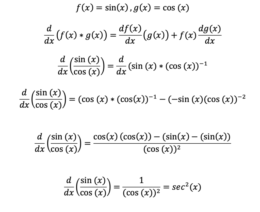
One of the battles I had a long time ago was remember was the tan(x), sec(x),cot(x) and csc(x). We were given a table but some things I could not understand until I derived it over and over again! The derivation can be done with the product rule and quotient rule.

For the y=tan(x), you can actually get the get the square of the secant. I hope this little bit helps. I will work on the cot(x), csc(x), and sec(x) after this point we will move to integration.
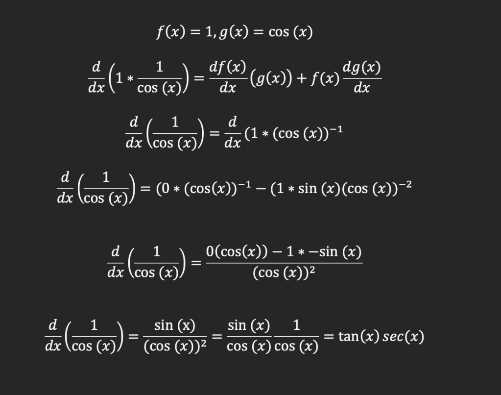
The Secant Derivative
As I previously wrote, one of the issues I had with calculus was memorizing the trig derivatives. So I kept deriving them until it stuck. I hope that you do not have to go with this method which is why I am going through the derivation to help others. The product rule/quotient rule to get the derivative of y=sec(x)

Please let me know if you have any questions or special requests
Leave a comment