For those who have had physics, you know of position, velocity, and acceleration. One of the issues I had was memorizing formulas so much like what I did in calculus I derived the formulas until it stuck.
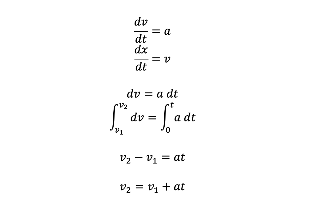
Everything always comes down to the fundamentals, there is a definition of position, velocity and acceleration.

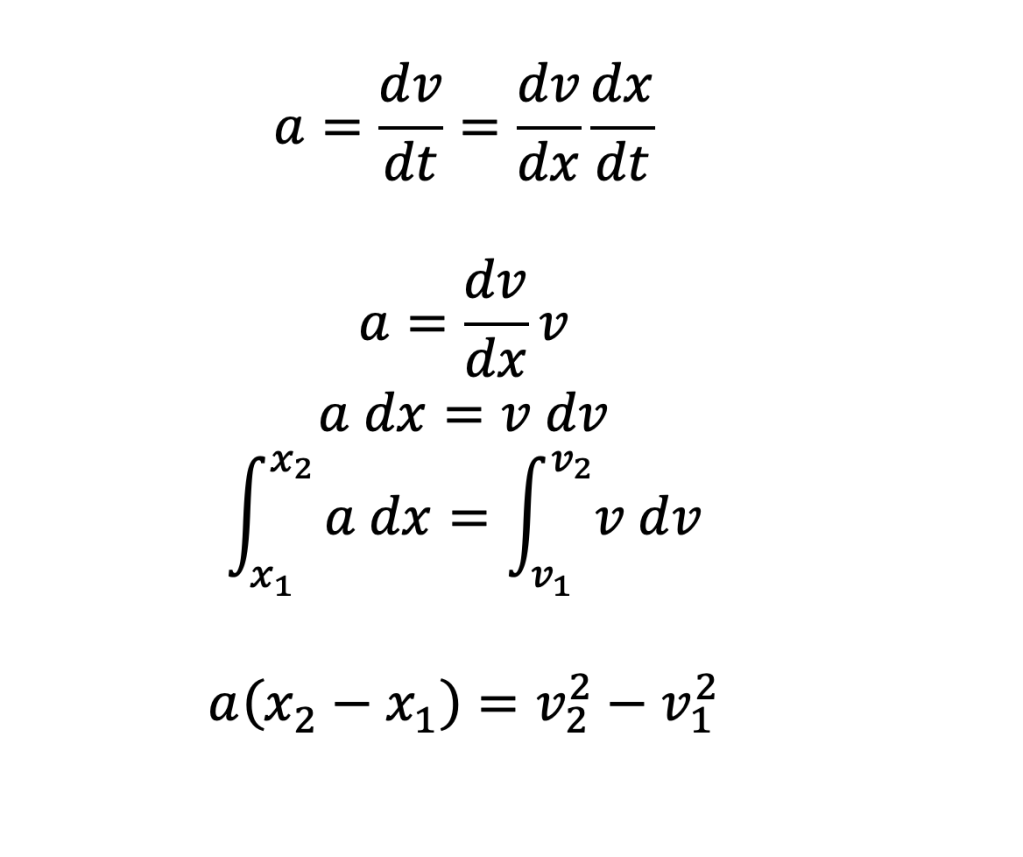
The first and second equation are the definition of acceleration and velocity respectively. The solve the equations we had to use integration which I will touch on a little late. The final result is how velocity, acceleration and time all relate to one another. There are a few more equations that need to be derived we can use the chain rule to get position.
There may be cases to where we have to solve problems with position, velocity and acceleration. If we use the chain rule that learned about before we can create a relationship between acceleration, velocity and postion as shown below.

Physics Case of acceleration, velocity, distance
My apologies about the late post. I am posting another physics case where with acceleration, initial velocity and time, give postion.
Like I said before, I struggled with remembering I derived it until I remembered. My theory is that if you understand fundamentals you can derive what you need.

Math is the key to Everything
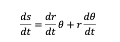
Write down your assumptions and know them, here is a lesson on angular speed and displacement

Lets start with distance(s) is equal to r (radius) * angular displacement, the derivative of the function is shown below with the product rule.

If the radius constant like a motor, then r is a constant and dr/dt=0 therefore we get:

If ever in doubt you can use these techniques to derive what you need and know the assumptions.
I am going to discuss integration next.
Leave a comment